公务员考试题库 每日一练(9月18日)2019版
2019-09-18 | 来源:未知

领取全套备考资料

1、将大米300袋、面粉210袋和食用盐163袋按户分给某受灾村庄村民,每户分得的各种物资均为整数袋,余下的大米、面粉和食用盐的袋数之比为1:3:2,则该村有多少户村民?(     )
A.7   
B.9
C.13   
D.23

2、某市2009年末汽车保有量为50万辆,预计此后每年报废上一年末汽车保有量的5%,并且每年新增的汽车数量相等,如果要求该市保有量不超过200万辆,那么每年新增汽车数量不应超过多少万辆?(     )
A.2.5   
B.5 
C.7.5   
D.10

3、某工程班被派去抢修灾区路面,工程完成 时,一半人员被调去救援被困群众,剩下一半人员继续工作4小时后,两个新兵班被调去支援抢修,每个新兵班的效率是工程班的35%,最终比原计划提前3小时完工,请问原定几小时完工?(     )
A.48   
B.42 
C.54 
D.60

4、某公司为客户出售货物,收取3%的服务费;代客户购置设备,收取2%的服务费,某客户委托该公司出售自产的某种物品并代为购置新设备,已知公司共收取该客户服务费200元,客户收支恰好平衡,则自产的物品售价是多少?(     )
A.3880   
B.4080   
C.3920   
D.7960

5、某公司招聘甲、乙两种职位的人员共是90人,甲、乙两种职位的人员每月的工资分别为1500元和2500元。若甲职位的工资总支出是乙职位的40%,则乙职位的招聘人数比甲职位多(     )
A.24人   
B.20人   
C.18人 
D.15人

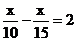
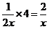
6、有一个分数,分母加2等于 分母减3等于 这个分数分子和分母的和为(     )。
A.33   
B.11   
C.30   
D.19

7、骑自行车从甲地到乙地,以10千米/时的速度行进,下午1时到;以15千米/时的速度行进,上午11时到。如果希望中午12时到,那么应以怎样的速度行进?(     )
A.11千米/时       
B.12千米/时
C.12.5千米/时   
D.13.5千米/时

8、有一个整数,用它分别去除157、234和324,得到的三个余数之和是100。求这个整数。(     )
A.44   
B.43   
C.42   
D.41

9、调研人员在一次市场调查活动中收回了435份调查问卷,其中80%的调查问卷上填写了被调查者的手机号码。那么调研人员至少需要从这些调查问卷中随机抽多少份,才能保证一定能找到两个手机号码后两位相同的被调查者?(     )
A.101   
B.175   
C.188   
D.200

10、某学生参加了六次测验,第三、四次的平均分比前两次的平均分多2分,比后两次的平均分少2分。如果后三次平均分比前三次平均分多3分,那么第四次比第三次多得几分?(     )
A.1   
B.2   
C.3    
D.4














华智答案解析:
1.【解析】选D。由余下的大米、面粉和食用盐的袋数之比是1:3:2可知,余下的大米+余下的食用盐=余下的面粉,假设有村民x户,每户分的的大米、面粉、和食用盐分别为a、b、c袋,那么就有300-ax+161-cx=210-bx,即253=(a-b+c)x,x应被253整除,选项中只有23符合。
2.【解析】选D。设每年新增汽车数量x万辆,第n年汽车总量为a万辆,即第n+1年就为 =0.95a+x辆,要使最终保有量不能超过200万辆,就意味着n趋向于无穷大时有a=  ≦200,即最多是a=  =200,x=  -0.95a=0.05a=10,那么每年新增汽车数量不应超过10万辆。
3.【解析】选A。设原计划x小时完工,那么工程班的工作效率为 ,一半人员继续工作4小时后,完成了 ,调去新兵班后则用了x-x-4-3小时,完成了( )×( x-7),则( )×( x-7)+ =,解得x=48小时。
4.【解析】选B。设自产的物品售价是x元,购置的新设备是y元,那么就有x(1-3%)=y(1+2%),化简得y= ,总服务费为3%x+2%y=200,解得x=4080元。
5.【解析】选C。设甲职位的招聘人数为x,乙职位的招聘人数为y,那么就有x+y=90,1500x=2500y×40%,解得x=36,y=54。则乙职位的招聘人数比甲职位多18人。
6.【解析】选A。设这个分数为 ,即 ,解得x=10,y=23。所以这个分数分子和分母的和为33。
7.【解析】选B。设甲、乙两地相距x千米,那么就有 ,解得x=60千米,那么要在中午12点到,就要满足 ,解出v=12千米/小时。
8.【解析】选D。设这个除数为x,商分别是a、b、c那么就有ax+bx+cx+100=157+234+324,即(a+b+c)x=615,代入选项可知41符合能被615整除。
9.【解析】选C。最不利情况一:抽取的全部是20%未填手机号码的问卷,共有87份,最不利情况二:再次抽取的手机号码后两位全不同,共有 =100种,那么除此之外再抽取时必然会跟原先的有相同的,至少需要抽取188份才能保证一定能找到两个手机号码后两位相同的被调查者。
10.【解析】选A。设第三次得分为x,第四次得分为y。那么前两次总分为x+y-4,后两次总分为x+y+4,后三次平均分比前三次平均分多3分就有y+x+y+4=x+y-4+x+9,解得y-x=1。





欢迎关注上海华智公考微信号(witsunhz),或扫码领取该项目备考资料!
7天免费畅学卡
 课程推荐
 加入学习小分队
微信扫一扫
全国统一报名热线:
400-821-0721
  • 杨浦
    杨浦学习中心
    电话: 021-65650586
    地址: 杨浦区国定路335号三号湾三号楼7层
    客服微信

    桂老师

    15921932258

    客服微信

    李老师

    13585512509

    客服微信

    刘老师

    17717222736

  • 徐汇
    徐汇学习中心
    电话: 021-64268056
    地址: 徐汇区华山路2088号汇银广场南楼6楼
    客服微信

    汪老师

    13391256779

    客服微信

    王老师

    13585512605

    客服微信

    周老师

    19916744766

  • 松江
    松江学习中心
    电话: 021-57709496
    地址: 松江区文汇路955号文汇新天地3楼
    客服微信

    吴老师

    18001770796

    客服微信

    于老师

    19946127488

    客服微信

    樊老师

    18917874588

  • 浦东
    浦东学习中心
    电话: 021-50888391
    地址: 浦东新区沪南公路9875号润业大厦5楼
    客服微信

    陈老师

    18117127207

    客服微信

    童老师

    18321250548

    客服微信

    张老师

    18017809371

    客服微信

    廖老师

    17701706182

  • 嘉定
    嘉定学习中心
    电话: 021-59949686
    地址: 博乐路205号3楼302室 (嘉定博物馆南边隔壁)
    客服微信

    陈老师

    13918156994

    客服微信

    周老师

    15000167376

  • 崇明
    崇明学习中心
    电话: 021-69488065
    地址: 崇明区城桥镇八一路733号
    客服微信

    小小老师

    18917193646

    客服微信

    章老师

    18016289781

  • 青浦
    青浦学习中心
    电话: 021-59860081
    地址: 青浦区浦仓路498号
    客服微信

    宁老师

    19946094266

    客服微信

    杨老师

    13585512309

    客服微信

    高老师

    19117283623


Copyright©2003-2024 上海杨浦区华智进修学校 All rights reserved.沪ICP备11050108号